Note: below is a list of corrections to the solutions provided by the lecturer, but everything I have written here is correct, I think.
- Question 5a: error in answer, should be 3ax2+b not ax2+b
- Question 6: easier route through logarithmic differentiation
Question 1 §
Question 1a §
f(x)=3x5−2x2+7x−21+2⟹f′(x)=15x4−4x−27x−23
Question 1b §
f(x)=x−1x3+3x2+7⟹f′(x)=(x−1)2(3x2+6x)(x−1)−(1)(x3+3x2+7)
⟹f′(x)=(x−1)22x3−6x−7
Question 1c §
f(x)=exsinx⟹f′(x)=exsinx+excosx
⟹f′(x)=ex(sinx+cosx)
Question 1d §
f(x)=4x4ecx⟹f′(x)=16x3ecx+4cx4ecx
⟹f′(x)=4x3ecx(4+x)
Question 1e §
f(x)=x3cosax⟹f′(x)=−x6ax3sinax−3x2cosax
⟹f′(x)=x43cosax−axsinax
Question 1f §
f(x)=sincxaebx⟹f′(x)=sin2cxabebxsincx−acebxcoscx
⟹f′(x)=sin2cxaebx(bsincx−ccoscx)
Question 2 §
Question 2a §
f(x)=sin(5x+2)⟹f′(x)=5cos(5x+2)
Question 2b §
f(x)=ln(1+x−2)⟹f′(x)=−1+x−22x−3
⟹f′(x)=−x(x2+1)2
Question 2c §
f(x)=sin3x⟹f′(x)=3cosxsin2x
Question 3 §
Question 3a §
h(t)=(t3−1)100⟹h′(t)=300t2(t3−1)99
Question 3b §
h(t)=sin(a+bt4)⟹h′(t)=4bt3cos(a+bt4)
Question 3c §
h(t)=acos(btanct)⟹h′(t)=−abcsec2(ct)sin(btanct)
Question 4 §
Question 4a §
dxd(x4e3xtanx)⟹dxd(4lnx+3x+lntanx)
⟹x4e3xtanx⋅(x4+3+2csc(2x))
Question 4b §
dxd(x3cosh2xe4x)⟹dxd(4x−3lnx−lncosh2x)
⟹x3cosh2xe4x⋅(4−x3−tanh2x)
Question 5 §
Question 5a §
f(x)=ax3+bx:f′(x)=h→0lim(hf(x+h)−f(x))
⟹f′(x)=h→0lim(h(a(x+h)3+b(x+h))−(ax3+bx))
⟹f′(x)=h→0lim(ha((x+h)3−x3)+bh)
⟹f′(x)=h→0lim(hbh+a((x+h)−x)((x+h)2+x(x+h)+x2))
⟹f′(x)=h→0lim(b+a(3x2+h2+3xh))
⟹f′(x)=3ax2+b
Question 5b §
f(x)=cx+d:f′(x)=h→0lim(hf(x+h)−f(x))
⟹f′(x)=h→0lim(h(c(x+h)+d)−(cx+d))
⟹f′(x)=h→0lim[(h(cx+d)+ch−cx+d)((cx+d)+ch+cx+d(cx+d)+ch+cx+d)]
⟹f′(x)=h→0lim(cx+d+ch+cx+dc)
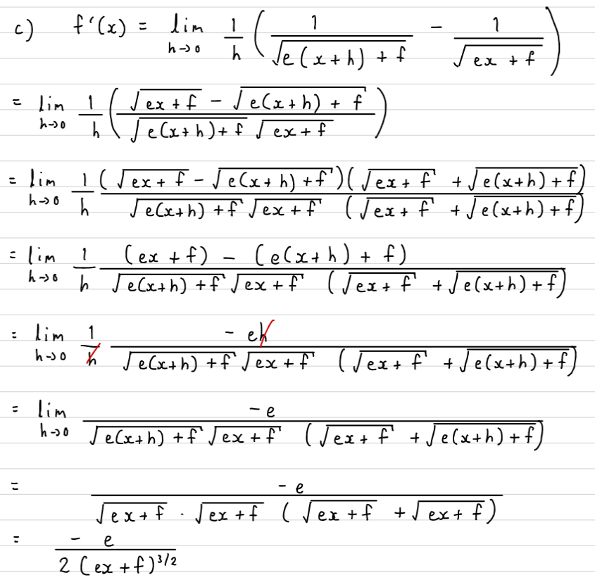
Question 5c (to-do) §
f(x)=ex+f1:f′(x)=h→0lim(hf(x+h)−f(x))
⟹f′(x)=h→0lim(h(e(x+h)+f)−21−(ex+f)−21)
⟹f′(x)=h→0lim(h)
Solution: Pasted image 20231027195115.png
Question 6 §
f(x)=(x−a)(x−b)(x−c)⟹f(x)=ln(x−a)+ln(x−b)+ln(x−c)
⟹f′(x)=(x−a)(x−b)(x−c)⋅(x−a1+x−b1+x−c1)
∴f(x)f′(x)=x−a1+x−b1+x−c1 □
Question 7 §
Question 7a §
cos2x=cos2x−sin2x⟹−2sin2x=−2sinxcosx−2sinxcosx
⟹sin2x=2sinxcosx
Question 7b §
sin(a+b)=sinacosb+cosasinb
⟹(1+dadb)cos(a+b)=(cosacosb−dadbsinasinb)+(−sinasinb+dadbcosacosb)
⟹cos(a+b)=1+dadb(1+dbda)(cosacosb−sinasinb)
∴cos(a+b)=cosacosb−sinasinb